Wednesday, February 27, 2013

Playing the Wii makes you a better surgeon

Becoming a skilled surgeon is no easy task, but new research suggests that surgeons may be able to have a little bit of fun while they train. In a paper published today in PLOS One, researchers show have shown that a training regimen including the Wii can improve surgical skills.

It's nothing new that video game skill is positively correlated to laparoscopic surgery skill. In previous studies, surgeons were surveyed about their video game habits. In 2010 there was a correlation study that showed that a person's ability to play the Wii could predict laparoscopic surgery efficiency. Even as early as 2007 there was a study that showed that the most skilled laparoscopic surgeons also scored well in a game of Marble Madness.

This current study put those correlations to the test, showing a quantifiable improvement to laparoscopic skills from a training regimen that includes playing the Nintendo Wii. The surgeons-in-training were divided into two groups, one of which was asked to play the Wii for 60 minutes every day. The other group was asked to avoid all video games. After the four week period the group with the Wii training schedule had improved their surgical skills much more than the group that didn't play video games.The study concludes with the following statement:
"It is hard to suggest that Academic Institutions adopt a videogame console as a  didactic tool for surgery in addition to traditional training and simulators. (...) The Nintendo Wii may be adopted in lower-budget Institutions or at home by younger surgeons to optimize their training on simulators before performing real procedures" 
An interesting conclusion: You won't see medical schools rushing out to get their hands on a Wii, but if you are a young surgeon it may be a cheap alternative to expensive laparoscopic trainers.

It seems like a bit of a flaw to me that the control group were not asked to perform some other, non-video game related training for an equivalent amount of time each day. The only mention of the control group is that they were asked not to play video games. It seems that this study really only says that doing tasks that require hand-eye coordination will improve hand-eye coordination; the Wii really has nothing to do with it at all (though when studies like this are done it does make for good publicity I suppose). An interesting future experiment may be to repeat these same conditions with a third group that is given an hour every day with a standard laparoscopic trainer or some other task that requires hand-eye coordination. How would this extra time on the trainer compare to training with the Wii?

On a related subject, if you'd like to know how the Wii remote works, I've written an article about that here.

ResearchBlogging.org Domenico Giannotti, Gregorio Patrizi, Giorgio Di Rocco, Anna Rita Vestri, Camilla Proietti Semproni, Leslie Fiengo, Stefano Pontone, Giorgio Palazzini, & Adriano Redler (2013). Play to Become a Surgeon: Impact of Nintendo WII Training on Laparoscopic Skills PLOS One

Friday, February 22, 2013

Living with Chemicals: (3β,5Z,7E)-9,10-secocholesta- 5,7,10(19)-trien-3-ol

Today I'm introducing a new feature that I hope to make a regular post: Living with Chemicals. As most of you know, I am a chemist (although some of my peers may argue differently). One thing that really bothers me is chemophobia - the fear of chemicals. The term "chemical" has a bad connotation in the media and among pseudo-scientists. They push instead for "all natural" solutions (without realizing that natural does not mean good and synthetic does not mean bad). Unfortunately for them, everything around you is a chemical. In this feature I'm going to be giving examples of "synthetic" chemicals that are good for you, "natural" chemicals that are bad for you, and everything in between.

The Chemical (IUPAC Naming convention):  (3β,5Z,7E)-9,10-secocholesta-5,7,10(19)-trien-3-ol
You probably know it as: Vitamin D
The structure:
 File:Cholecalciferol.svg


Vitamin D is somewhat of a misnomer - it's actually not a vitamin. A vitamin is a chemical that is necessary for normal growth, development, and function that is not synthesized in the body. However, vitamin D is synthesized in the body. As shown in the diagram below, when 7-Dehydrocholesterol is irradiated with the sun's ultraviolet light (hν) one bond is broken and another is formed. Cholecalciferol is another name for vitamin D3.


So, technically it's not a vitamin. It got the name vitamin D because it was discovered while looking for an explanation of rickets - a disease that we now know is due to vitamin D deficiency. Sometimes you'll hear people talk about "absorbing vitamin D" from the sun, but that's not quite true. More correctly, vitamin D is synthesized in your skin using the sun's energy.

Tuesday, February 19, 2013

Mutations are random, but evolution may be more predictable than originally thought

Image from science.howstuffworks.com
Life on earth is both ubiquitous and diverse - we're surrounded by somewhere around 8.7 million different species - and the mechanism for how such diversity came about is an interesting question. New research published today suggests that although genetic mutations happen at random, different organisms are able to find the same solution to an environmental pressure.

Genetic diversity can happen when a species is separated and given different environmental pressures. In 2008 Michael Doebeli, evolutionary biologist working at the University of British Columbia, showed genetic diversity in E-Coli occurs even when two strains are in the same environment. In an environment of glucose and acetate, one strain of E-Coli evolved to quickly change between digesting glucose to digesting acetate while another strain made the transition much more slowly. Since publishing those results Doebeli has been studying how this diversification happened. 

They did this by analyzing 17 gene samples from E-Coli that had been frozen at different stages of the initial experiment. This allowed them to see which mutations happened and in what order. Interestingly, even though the strains adapted to their environment at different times they adapted in the same way. In other words, even though the mutations are random the bacteria found the same solution to their hunger woes. Since evolution is not a guided process (mutations are random) these results are surprising. It seems that bacteria in a specific environment will evolve in a more predictable manner than originally thought.

Friday, February 15, 2013

Questionable Russian Diplomas and Academic Dishonesty

On Thursday the Chairman of the Russian Higher Attestation Commission, Felix Shamkhalov, was arrested on charges of money laundering. This national organization oversees the awarding of advanced degrees. Felix, who allegedly stole ~1.5 billion roubles (~$50 million US) from the Russian Bank of Foreign Economic Activity (Vnesheconombank), will be held in custody until March 24th while the matter is investigated.

But this isn't the only problem the commission is facing. As of today 11 PhD diplomas have been revoked due to plagiarism. began in March 2012, when Andrei Andriyanov was appointed as head of the Kolmogorov School, an elite Moscow mathematical school. At the time Anderiyanov was accused of misrepresenting his qualifications. His dissertation was reviewed and several PhD requirement violations and plagiarisms were found. Since then a sample of 25 dissertations have been examined with a shockingly high 24 were found to contain either requirement violations or plagiarism.

The perils of academic dishonesty
This is obviously a huge blow to academia in Russia, and it reminds me that not only does academic dishonesty exists but it is more common than you would think. In 2011 Bengü Sezen, a former researcher at Columbia University, was found guilty of 21 counts of research misconduct and at least 9 papers have been found to be falsified, fabricated, plagiarized, or unable to be replicated (3 students that worked with Sezen quit the program, frustrated that they were unable to replicate her results).

Another, more recent example is that of Hyung-In Moon. As of late December 2012, 35 of Moon's papers have been retracted. Moon would submit an article to an Elsevier journal along with the names of several possible reviewers (this is standard practice). However, the "reviewers" were just his own alternate e-mail addresses. Moon's fraud was discovered when all of the reviewers comments for one of his papers were submitted within 24 hours.

As a scientist, I feel that we are pretty vigilant for fraud within our community. We're all aware that research brings with it the pressure to publish new, exciting results. This pressure sometimes leads to plagiarism and falsified or fabricated data. Falsified data may help one researcher feel like they're getting somewhere but in the end it really hurts the community. There is a certain amount of trust necessary when you read a peer-reviewed article. If someone has already solved a problem it may not be worth your time to replicate their results. Another effect of academic dishonesty is a diminished trust in scientists by the public in general. From my perspective scientists who falsify their data are a minority, but tales of academic honesty don't make for a good headline so that's not what the public sees.

Academic dishonesty isn't a new problem (Louis Pasteur faked much of his data that "disproved" the idea of spontaneous generation), and it's not always simple to know which results are falsified. When these big stories break, though, it's important to ask ourselves: are we being vigilant enough?

Attractive Forces of Nature Part II: Electroweak Force

This post is the second in a three-post special Valentine's Day series about The Attractive Forces of Nature.  The previous post on gravity can be found here (opens in a new window).

The electroweak force is pretty romantic because it's really the unification of two forces, electromagnetic force, and the weak force.  At really high (like, universe-creating high) energy, they're the same thing, but at energies where you and I live, they look pretty different, so we'll talk about them separately.

1.  Electromagnetic force:

The electromagnetic force is 1037 (*ahem* that's a 1 with 37 zeroes after it) times stronger than the gravitational force that keeps you anchored to the earth.  So for the record, if you want to compliment someone, telling them you're magnetically attracted is making a stronger point than telling them that you gravitate toward them.

They say opposites attract, and whether that's true in love or not, the electromagnetic force causes opposite charges and opposite magnetic poles to be attracted to each other.  North poles of a magnet are attracted to south poles, and positive charges are attracted to negative charges.  On the other hand, the same force causes things with like magnetic polarity or like electrical charge to be repulsed.  The electromagnetic force causes electrons to be attracted to the nucleus in atoms.  It also causes protons in the nucleus to be repulsed by each other.  The nucleus stays together regardless of this repulsion between positive charges because of the strong force, which we will discuss in a future post.
Electromagnetic force causes opposites to attract...
At least when it comes to magnets and electrical charges.

Quantum electrodynamics says that massless virtual photons mediate the electromagnetic force.  All four fundamental interactions are mediated by different particles, the mass of which determine the range of the interaction.  Massless particles, gravitons and photons, mediate gravitation and electromagnetism, respectively, so the range is essentially infinite.  Of course, the strength of the field drops in an inverse square relationship with the distance from the source, so at large distances from the source, the force becomes extremely weak and we tend to largely ignore them.  In other words, physical separation does not "make the heart grow fonder," at least not when it comes to electromagnetism.

2.  Weak force

The weak force also relies upon exchange of extremely massive mediating particles called W particles, and has an extremely limited distance (~10-18 m).  Quarks (the stuff that protons and neutrons are made of) come in six different "flavors," (strange, charm, up, down, top, and bottom) and the weak force is the way quarks change flavors.
Flavor changes by the weak force

The weak force is important in things like beta emission, a kind of radioactive decay.  Protons and neutrons are composed of up and down quarks.  Protons are two up quarks and one down quark, and neutrons are two down quarks and one up quark.  In the process of beta emission, a down quark of a neutrons changes to an up quark, changing a neutron into a proton.  In addition to the emission of a beta particle (now we know it is an electron) and a neutrino, this flavor change results in the transmutation of an atom, changing its identity from one element to another element.  For example, Carbon-14 in living organisms (and otherwise) decays to Nitrogen-14 over time.  Carbon dating (the only type of dating some people will ever do *zing*) takes advantage of the steady decay of Carbon-14 to Nitrogen-14 to estimate the age of things like bone fragments and wood artifacts.

Stay tuned, because in the next installment we will talk about the strong force, which is the strongest of all four fundamental forces of nature.

Facebook and Ironic Processing

Quick, don't think about a pink elephant!


Sure you just thought about a pink elephant, but why? The phenomenon is known as ironic processing and it happens when the act of trying to suppress a thought makes it stand out even more in your mind. If you've been around the internet for any time at all you've probably heard of The Game (which you just lost). The Game is an exercise in ironic processing where the goal is to not think about The Game - in other words, you lose The Game by thinking about The Game (of course if you win The Game, and realize you are winning, you immediately lose).

A recent, seemingly related, application of ironic processing has surfaced on Facebook. A post tells you to "Name a movie that doesn't have an S in it" or "Name a band that doesn't have a B in it". It's apparently a hard thing to do, but I didn't have any trouble at all. Here's what I came up with in just a few seconds:

Movies without an S:
The Godfather
Citizen Kane
The Italian Job
The Wizard of Oz
The Dark Knight
Fight Club
Finding Nemo

Bands without a B:
Tool
U2
Led Zeppelin
KISS
Everclear
Faith No More

Of course, that doesn't mean I didn't think of movies with an S or bands with a B. The first movie I thought of was Shawshank Redemption and the first "band" I thought of was the Backstreet Boys. But the Facebook "challenge" isn't to avoid thinking about those names, it's to actively think of something different.

I'll admit, the way it's phrased does make you think more about movies with an S or bands with a B, but I don't think everyone realizes that this bias is in play. There are now doubt some people that will think "Wow, a lot of movies have the letter S in it, I wonder why?" instead of accurately recognizing the bias that exists when your choices are restricted.

And if you want a good comeback if that challenge gets posted on your wall,

Wednesday, February 13, 2013

How does our nose know: Taking another look at nasal receptors

Our sense of smell is often presented, even at the university level, as being well understood. A molecule binds to a receptor in our nose, sending a signal that our brain interprets as a certain smell.   This model of chemical interactions is called the "lock and key" model.1 However, this model isn't as accepted in the scientific literature as you might expect. Researchers now have new information that suggests that the "lock and key" model might be wrong.

The Lock and Key Model
Each molecule has a specific shape and size. In the lock and key model, a molecule "fits" into certain receptors in your nose. If the molecule fits inside a "sweet" receptor it will smell sweet, but if it fits into a "stink" receptor you'll turn your nose up to it. A great example of this is carvone - an organic compound that reacts to the receptors in your nose in a very interesting way. 

File:Carvone.svg

Carvone comes in two different shapes (called enantiomers): R-Carvone and S-Carvone. The two molecules are exact in almost every single way, except that they are mirror images of each other. The interesting thing is that R-Carvone smells like spearmint while S-Carvone smells like caraway. The fact that your brain interprets these two chemicals (which are very similar) so differently is strong evidence that the receptors in our noses work according to the lock and key model - a different shape gives a different smell.

The Swipe Card Model
A second proposed model for how these receptors work is the "swipe card model. In this model the shape is still important, but the information is carried in some other way (just fitting in the receptor isn't enough). This model gets its name from a credit card machine - your card needs to fit into the machine, but the information on the magnetic strip is what's important.

Dr. Luca Turin et al. have presented some new results that give compelling evidence for the swipe card method. To test the model they took large molecules with a distinct musky smell and swapped all the hydrogens for deuterium (a heavy form of hydrogen). Participants were given four vials (three containing the original molecule and one containing the deuterated molecule) and asked to separate them by smell - an identification they were able to make correctly 90% of the time! The "lock and key" model would predict that the smells would be no different, but the "swipe card" correctly predicts that the molecules would smell different, since the two have very different bond vibrations.

Previous evidence
This isn't the first evidence to support the "swipe card" model. Late November 2012 an article was published by A. Marshall Stoneham et al. giving other errors in the "lock and key" model. An interesting example is ferrocene and nickelocene. These two molecules are roughly the same size and shape, but have very different smells. Ferrocene (on the left) is a spicy smelling chemical while nickelocene (on the right) smells like an oily organic compound.
Figure 10.
The model breaks down in the opposite direction as well. If two compounds smell the same they should be expected to be the same shape (according to the "lock and key" model). However, in the same paper cited above it has been shown that molecules with very different shapes can have the same smell if their vibrational frequencies are similar. This is the case with hydrogen sulfide (on the left) and decaborane (on the right). The two compounds are obviously very different in both size and shape, but they both activate at least one of the same receptors. This can be explained by the "swipe card" model, since they have very similar vibrational frequencies.

An external file that holds a picture, illustration, etc. Object name is sensors-12-15709f9.jpg Object name is sensors-12-15709f9.jpg

It is important to note that neither of the above mentioned models are correct. In fact, every model we could give would be just that: a model. I should also mention that this is still an open topic of research and there are obvious flaws and benefits to each model. I just think it's amazing that something that many people take for granted - the sense of smell - could be such an interesting scientific problem. 

Notes
[1] In the scientific literature you'll most likely see the "induced fit" model is more accepted than the "lock and key". In the "induced fit" model the receptor molds itself around the binding molecule (thus the binding molecule induces the correct fit). In this article I will be using "lock and key" to describe both models, though, since both are only specific to size and shape.

Nuclear Fusion, and why It’s Awesome

In keeping with the Valentine's Week theme of Attraction, I present to you a post from Zach Weiner from SMBC Comics about Nuclear Fusion.


How it Works:
You probably remember from a physics class that there is positive charge and negative charge. Things of different charge attract, while things of like charge repel. As it happens, the strength of that force of attraction or repulsion follows an inverse square law. That simply means that the force is proportional to 1/r2, where are is the distance between charged things. So, if the distance is 1000 meters, the force will be very small. If the distance is .001 meters, the force will be very strong.

You may also have heard that it’s possible to fuse nuclei. But according to that inverse square law (which, when you add in a bunch of constants is called Coulomb’s Law), if you get those positively
charged nuclei next to each other, the distance basically drops to 0. This should present a problem, partially because we all know that when you divide by 0 the universe ends, but more importantly, shouldn’t all nuclei be exploding right now?

That’s where something called Strong Nuclear Force comes in. Strong nuclear force is a fundamental force, the same as gravity or electromagnetism. It is very, very powerful, but it only acts over very short distances. So, you don’t really interact with it very much, at
least as far as you know.

So, in order to fuse two atoms (for simplicity, let’s say two hydrogen atoms) you’ve got to get those nuclei really, really close - close enough that the Strong Force of attraction overcomes the Coulomb Force of repulsion. This is called the “Coulumb Barrier.” Simply put, if you want fusion, you need two atoms to go really fast as they smack into each other.




Getting it to Happen
You can actually do it on your tabletop, using what’s called a Farnsworth Fusor. It’s basically an electrified cage that zaps protons toward its middle. Although most of the protons will not fuse, a few will randomly happen to have a bunch of energy, and will hit each other hard enough to fuse.

Think about it like this - if you have a million superballs bouncing in a zero gravity container, they’ll keep trading energy as they bounce around. Occasionally, one super ball will get hit on its backside repeatedly, causing it to speed way up. If another ball does the same and they happen to hit each other, BOOM! Okay, the analogy fails there because the superball will just explode. At the atomic scale, there’s a chance the Strong Force will kick in and make them stick together.

The way we know fusion has happened (typically) is by detecting energetic neutrons. Long story  short - when fusion happens, sometimes a neutron gets squeezed out of the new nucleus at very  high energy. You’re unlikely to encounter one of these during your day, so if you’re detecting a bunch coming out of your fusor, you know you’re in business. This is why, when people claim they have discovered cold fusion, scientists usually say “show us your neutrons!”

The Problem
So how come we don’t have these in every home? Well, although you can get fusion to happen on your tabletop, it costs energy. It takes more energy to get those protons to sit in the middle of the cage than you could possibly get back by, for example, having those neutrons slam into some water and heating it to power a steam turbine.

But, we know fusion works. It happens in the core of the sun all the time. Unfortunately, it works there because of the massive gravity of the sun, which confines vast amounts of hydrogen in its center. Until someone figures out how to generate artificial gravity (hopefully without destroying Earth in the process) we can’t do that here on terra firma.

Possible Solutions
Ever since fusion was discovered, scientists and engineers have tried to figure out a way to use it as an energy source. The various methods are outside the scope of this article, but here are a couple ways you could possibly pull off the trick:
1) Pinch it - Using devices like tokamaks (basically a donut-shaped version of the fusor), and very strong electromagnetic force, you can crunch the protons into a small space. They kick out neutrons, which you use for power. 
2) Blast it - In most cases this involves lasers. You can confine the protons to a small container, then zap it from a bunch of angles at once. This confines the protons into a small space to hopefully get you some more energy out than you put in. 
3) Hybrid - One recent development at Sandia labs is called MagLIF, short for Magnetized Linear Inertial Fusion. Basically, you use a laser to heat up the small container , then you use a powerful magnetic force to crunch the container down (first you blast it, then you pinch it!).

Current State
So far, nobody has achieved “energy gain.” That is, nobody has gotten more energy out than was put in. And, this is not for lack of trying. Fusion has turned out to be a difficult problem, which has caused the unfortunate truism that “fusion is always 50 years away.”

However, there are a number of active projects, doing all of the above approaches. There are also a number of heterodox approaches that are longshots, such as polywell fusion and focus fusion. Although it hasn’t happened yet, as the science improves, and we get bigger and bigger machines, like the Z Machine at Sandia and the forthcoming ITER tokamak in France, we can have reasonable hope that energy gain will happen in finite time.

Why It Would be Great
Fusion power is essentially limitless. The usual fuel for fusion reactions is deuterium, which is an isotope of hydrogen. It is abundant enough in the ocean that, even though we aren’t all running fusion reactors, you can actually buy it (relatively) cheap online.

If fusion did work, and could be made inexpensive enough, it’d mean limitless clean energy at low cost. Although most reactor designs produce some irradiated material (the walls of the confinement chamber, for example), it tends to be in smaller quantities and with a lower half life than standard fission reactors. As society relies more and more on energy for everything, lowering the cost of energy means far more abundance. Everything from laptops to chemical fertilizer requires energy input. A number of crucial services, like desalinization, also require a lot of energy. If that energy could be made very cheap, many problems social and environmental could be solved.

In fact, it’s hard to think of problems that wouldn’t be lessened by nearly free energy. For anything you own or any service you purchase, somewhere along the chain, a power plant is involved. Imagine how much it would change your world if both the financial and environmental cost of the things you desire were minimized.

Tuesday, February 12, 2013

Attractive Forces of Nature Part I: Gravity

It's that time of year again when you and your sweetheart wish to exchange saccharine expressions of your love for one another. Love is a many-splendored incomprehensible thing, so we tend to turn to the "incomprehensible" forces of nature to aid in our descriptions. "I love you like the ocean loves the beach." The ocean touches the beach, but is it really attracted to it? How strong is your love? Is it strong like the gravity that keeps us from floating into space, or is it even stronger than that? We hope this special series: Attractive Forces of Nature will help you express your love and impress your sweetheart this Valentine's day.

We'll begin with gravity. Love can often catch us unawares like an apple to the head, as goes the story of Newton's discovery of gravity. In reality, although Newton said that the falling of an apple inspired his work, the law of gravitation did not come to him instantaneously but after a great deal of thought and work. In fact, even before Newton came along, Galileo had conjectured that all objects are pulled toward the center of the earth with the same acceleration. Newton further fleshed out the law of universal gravitation, which acts on every object on and off the earth.

The force of gravitational attraction between two objects is expressed by:


Where G is the universal gravitational constant, m1 and m2 are the masses of the objects, and r is the distance between the center of mass of the two objects. This force causes the earth and other planets to stay in orbit around the sun. It would cause two objects in solitary space to orbit each other (you and your love in space suits, for example).

You and your sweetheart...  in space.
On Earth, however, it's a different story.  Although you and your love may be able to get closer to each other than either of you could get to the center of the earth, the earth is so much more massive than you that, at least from a gravitational standpoint, both you and your sweetheart are significantly more attracted to the center of the earth than you are to each other.  So you should probably avoid bringing it up, especially on Valentine's day.

Stay tuned. We'll be publishing articles on the other forces from now until Valentine's day!

Monday, February 11, 2013

Help name Pluto's moons

Pluto isn't a planet anymore, but that doesn't mean astronomers are done studying the dwarf planet.  Over the last two years two new moons have been discovered. Currently the moons of Pluto are: Hydra, Charon, Nix, P4, and P5.
File:Pluto moon P5 discovery with moons' orbits.jpg
Charon is named after the boatman who ferried souls across the river Styx, Hydra is the nine-headed serpent who battled Hercules, and Nix is the Greek goddess of the night.

But P4 and P5 aren't really names, they're placeholders. That's where you come in. Over the next two weeks astronomers at the SETI institute are asking for your help naming the moons. It can't be just any name, though, they've suggested 12 names from Greek and Roman mythology and are asking for the public's input. If you don't like any of the 12 you can also submit your own idea. The voting is only open for two weeks. After that the votes will be counted and the suggested name submitted to the International Astronomy Union's nomenclature committee. So come on, head over to the website and help give the moons of Pluto a name!

Now let's just hope that 4Chan doesn't find out about this and try to make the name "Hitler's armpit" or something like that...

Friday, February 8, 2013

Immune system "remembers" pathogens it has never seen before

My son likes to eat snow.

Actually, he's somewhat of a snow connoisseur. He steers clear of the freshly fallen snow and heads right for the muddy, full of rocks, been-walked-through-for-a-week snow. New research from Stanford University suggests this habit could help make him a healthier adult.

Memory cells
Our immune system has several ways of fighting off disease, and memory cells play an important part in keeping us well. The first time your immune system comes up against a pathogen it may take weeks for you body to mount its response. After this first exposure, though, memory cells are able to recognize the pathogen and the next time you're exposed your immune system is able to respond much quicker.

This recent study found an abundance of CD4+ memory cells present in adults that had never had the initial exposure. These results are unexpected - it has been generally thought that until first exposure memory cells remained in an inactive "naive" state. In this study nearly all of the adults had active CD4+ cells in their blood for infections to which they had never been exposed. In contrast, the same memory cells were not found in umbilical blood of newborns - meaning we're not born with the memory cells but we don't always develop them from direct exposure either.

Low specificity memory cells
Chemical reactions are often described by a "lock and key" mechanism - if you want a reaction to happen the chemicals need to fit together just right. Specificity is the ability for one chemical to "recognize" another. Without high specificity our bodies would be a giant mess of uncontrolled chemical reactions instead of the orderly, almost sentient protein reactions that keep us alive.

Another surprise from this study is the low specificity of CD4+ cells. These cells were once thought to have a very high specificity. So high, in fact, that they circulated in the blood searching for a single pathogen. That doesn't appear to be the case. A large number of CD4+ cells were found to be reactive to harmless environmental microbes. This may mean that exposure to a high number of harmless environmental pathogens creates memory cells that will also be activated when exposed to a more dangerous pathogen - being exposed to a few harmless germs prepares you for the really nasty ones. It may also explain why the measles vaccines has been shown to give health benefits unrelated to the measles - the inoculation may be preparing your body for infections other than the measles.

Mark Davis, the principle investigator for the study, said:
"It may even provide an evolutionary clue about why kids eat dirt. The pre-existing immune memory of dangerous pathogens our immune systems have never seen before might stem from our constant exposure to ubiquitous, mostly harmless micro-organisms in soil and food and on our skin, our doorknobs, our telephones and our iPod earbuds."
So maybe it's ok if my son eats some muddy snow. Those harmless microbes are preparing his immune system for a bigger battle some day in the future.

Thursday, February 7, 2013

Statistical BINGO!

Every other Wednesday I meet a group of friends at Applebee's to play bingo. The conversation usually gets pretty nerdy, pretty quickly (after all, on the Wednesdays we aren't playing bingo we are playing D&D). This last Wednesday, as I waited for everyone to show up, I thought it would be funny to yell out "BINGO!" when only 3 numbers had been called - an obvious impossibility since you need at least 4 numbers (and the free space) to get a bingo. This lead me to wonder - What is the probability that someone will get bingo after only 4 numbers, and how many people would have to play bingo together for it to be more likely than not that someone will get a bingo after only 4 numbers?

A bingo board has 75 possible numbers:
1-15 Under B
16-30 Under I
31-45 Under N
46-60 Under G
61-75 Under O


So what is the probability of getting a bingo in only 4 numbers? Using the board above the probability is:


In other words the probability of getting 1,29,53,69 (in any order) and so on. Mathematically, this simplifies to:


So the chance of getting a bingo after only four numbers are called is 0.0003291% - or about one in every 333,000 bingo cards. This might make you think that the answer to the second question (how many people need to play bingo together to make it more than likely that someone will get a bingo) must be 333,000. You'd be wrong, though.

If something is more likely to happen than not, that means that the probability is greater than 50%. So if one person has a probability of 0.0003291%, do two people have a probability of 2*0.0003291%, 10 people have a probability of 10*0.0003291% and so on? That may make sense, but it's actually not right. To show why that's wrong let's think about a simpler example: a 6-sided die. It is obvious that the chance of rolling a six is 1/6, but if two people roll a 6-sided die is the chance of one of them getting a six 2/6? If six people roll a 6-sided die does that mean one of them are guaranteed to get a six? No. For the same reason we can't just add probabilities in our bingo problem. 

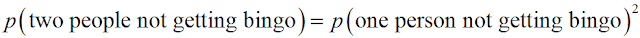
To get the right answer we need to switch gears. Instead of calculating the probability of getting a bingo after only 4 numbers, we'll look at the probability of not getting a bingo after only four numbers. The calculation is simple enough: 


And the chance of two people not getting bingo is:


This means that the chance of n people not getting bingo is:


and the chance of at least one person in n getting bingo is:


So if we want the probability to be 0.5, we need to solve the following equation for n:


Which ends up being 210,621. So if 210,622 people played bingo all together it would be more likely than not (50.0001268%) that at least one person will get bingo after just 4 numbers have been called. By the time 1 million people play together the probability is 96.2782%. Bingo obviously gets much less interesting in large groups.














Sunday, February 3, 2013

The Physics of Phootball

If you live in the US you probably know that the Super Bowl was today. A great side effect of the big game was the Twitter hashtag #SciBowl2013, where science great Phil Plait (and others) tweeted science related posts about the Super Bowl. Here are a few:





This is why science is awesome: it applies to everything! Any question about anything in the world around us can be answered with science. As an example, here's an equation you'll see in most freshman physics classes:

This equation can be used to calculate the distance that an object travels. d is the distance traveled, V is the velocity it was thrown at, ϴ is the angle it was thrown at, and g is the gravitational constant (9.8 meters/second on earth, but we'll get back to that in a second). This equation is actually pretty simple - you calculate it without even thinking every time you catch a ball. So let's see some of the things we can learn from it.

A typical pro football player can throw a football at about 55 mph. Compared to baseball and hockey this is pretty slow (a typical speed on both is more than 100 mph). This means that the best angle to throw a ball - at least for maximum distance - is when sin(2ϴ) equals 1, which is 45 degrees. An object thrown at 55.9 mph at an angle of 45.0 degrees will travel 69.7 yards.1 Getting a good "world record" for distance thrown is difficult, since NFL records include the distance run after the pass is caught. A pass thrown at about 75 mph would span the distance of the 100 yard football field. On other planets, though, this distance would be very different. Here a few planets, and the distance that a pro football player could throw on those planets:

Earth: 69.7 yards
Mercury: 189.3 yards
Mars: 182.2 yards
Pluto: 1,120 yards
Saturn: 61.0 yards
Jupiter: 26.3 yards
The Sun: 24.46
The Moon: 421.4 yards

So the big things we learn from this is:
  1. You don't want to play football on the sun. Not only would you have to rely on the running game (you can only throw it 25 yards at the most), but you would also die. Because it's the sun. 
  2. When we colonize the moon, the standard football field should be extended to about 600 yards to retain the same game flow.
  3. The Mars rover really should have brought a football. 


Notes
[1] I chose 55.9 mph because that's an even 25 meters per second - let's deal in real units here.

Saturday, February 2, 2013

Saturday Links: February 2, 2013


Very few links today. It's not because the internet has less to give, it's because I've been busy...
Newer Posts Older Posts Home