A bingo board has 75 possible numbers:
1-15 Under B
16-30 Under I
31-45 Under N
46-60 Under G
61-75 Under O
So what is the probability of getting a bingo in only 4 numbers? Using the board above the probability is:
In other words the probability of getting 1,29,53,69 (in any order) and so on. Mathematically, this simplifies to:
So the chance of getting a bingo after only four numbers are called is 0.0003291% - or about one in every 333,000 bingo cards. This might make you think that the answer to the second question (how many people need to play bingo together to make it more than likely that someone will get a bingo) must be 333,000. You'd be wrong, though.
If something is more likely to happen than not, that means that the probability is greater than 50%. So if one person has a probability of 0.0003291%, do two people have a probability of 2*0.0003291%, 10 people have a probability of 10*0.0003291% and so on? That may make sense, but it's actually not right. To show why that's wrong let's think about a simpler example: a 6-sided die. It is obvious that the chance of rolling a six is 1/6, but if two people roll a 6-sided die is the chance of one of them getting a six 2/6? If six people roll a 6-sided die does that mean one of them are guaranteed to get a six? No. For the same reason we can't just add probabilities in our bingo problem.
To get the right answer we need to switch gears. Instead of calculating the probability of getting a bingo after only 4 numbers, we'll look at the probability of not getting a bingo after only four numbers. The calculation is simple enough:
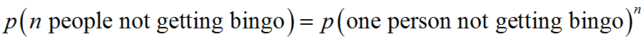
And the chance of two people not getting bingo is:
This means that the chance of n people not getting bingo is:
and the chance of at least one person in n getting bingo is:
So if we want the probability to be 0.5, we need to solve the following equation for n:
Which ends up being 210,621. So if 210,622 people played bingo all together it would be more likely than not (50.0001268%) that at least one person will get bingo after just 4 numbers have been called. By the time 1 million people play together the probability is 96.2782%. Bingo obviously gets much less interesting in large groups.



